PRODUCT


銷售一部:0531-88760590
銷售二部:0531-88786527
寧經理:18853131830, 15553139909
王經理:18615581926
工廠地址: 濟南高新區孫村鎮大正路與世紀大道交叉口東50米
銷售地址:山東省濟南市高新區聯合財富廣場1號樓907

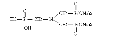
別名:氨基三亞甲基膦酸四鈉
CAS No. 20592-85-2
分子式 C3H8NO9P3Na4
相對分子質量:387
結構式

ATMP·Na4是ATMP的中性鈉鹽,可阻止水中成垢鹽類形成水垢,特別是碳酸鈣垢的形成。 ATMP·Na4適用于火力發電廠、煉油廠的循環冷卻水、油田回注水系統,反滲透膜的阻垢劑。ATMP·Na4對于其他一些添加劑也有很好的相容性。ATMP·Na4特別適用于中性到酸性配方中,無氨味產生。
項 目 | 指 標 |
HG/T 4328-2012 | |
外 觀 | 無色或淡黃色透明液體 |
活性組分(以ATMP計)/% | ≥30.0 |
活性組分(以ATMP·Na4計)/% | ≥38.8 |
pH值(1%水溶液) | 6.0-8.0 |
密度(20℃)/g·cm-3 | 1.35~1.45 |
Fe含量(以Fe計) /mg·L-1 | ≤10.0 |
氯化物 (以Cl-計) /% | ≤1.0 |
ATMP·Na4與其它有機膦酸、聚羧酸或聚羧酸鹽等復配成有機堿性水處理劑,用于各種不同水質條件的循環冷卻水系統。
ATMP·Na4用塑料桶包裝,每桶30Kg 或250Kg,也可根據用戶需要確定。ATMP·Na4貯于室內陰涼處,貯存期十二個月。
ATMP·Na4,操作時注意勞動保護,應避免與皮膚、眼睛等接觸,接觸后用大量清水沖洗。