PRODUCT


銷售一部:0531-88760590
銷售二部:0531-88786527
寧經理:18853131830, 15553139909
王經理:18615581926
工廠地址: 濟南高新區孫村鎮大正路與世紀大道交叉口東50米
銷售地址:山東省濟南市高新區聯合財富廣場1號樓907

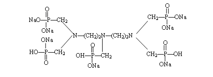
CAS No.68155-78-2 (7-Na),22042-96-2 (x-Na)
分子式 C9H21O15N3P5Na7
相對分子質量:727
結構式

DTPMP·Na7可用作阻垢劑、高效螯合劑、良好的BaSO4阻垢劑,DTPMP·Na7廣泛用于冷卻水處理、過氧化物漂白的穩定劑、洗滌助劑、市政工業清潔用水、地熱水處理、油田阻垢。
項 目 | 指 標 | |
HG/T 4330-2012 | ||
外 觀 | 紅棕色液體 | 紅棕色透明液體 |
活性組分(以DTPMPA計)/% | 31.5~33.5 | 24.0~26.0 |
活性組份(以DTPMPA·Na7計)/% | 40.0~42.5 | 30.5~33.0 |
總磷含量(以PO43-計)/% | -- | 19.7~21.7 |
pH值(1%水溶液) | 7.0~9.0 | 7.0~9.0 |
密度(20℃)/g·cm-3 | ≥1.25 | 1.24~1.34 |
氯化物(以Cl-計) /% | ≤5.0 | ≤5.0 |
Fe含量(以Fe計) /mg·L-1 | ≤20.0 | ≤20.0 |
DTPMP·Na7用塑料桶包裝,每桶25Kg 或250Kg,也可根據用戶需要確定。貯于室內陰涼處,貯存期十個月。
DTPMP·Na7,操作時注意勞動保護,應避免與皮膚、眼睛等接觸,接觸后用大量清水沖洗。